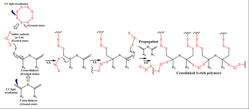
硫磺(S8)是石油和天然气工业的废弃物之一,全球年产量超过7000万吨,但是目前工业上对于S8的利用率极低,导致每年数千万吨S8被遗弃于室外,造成严重的环境问题。如何能有效利用这些废弃的“过剩硫”,变废为宝实现“从无机硫向有机硫”的功能性转化,具有重要的科学研究意义和经济实用价值。2013年Pyun团队率先提出“逆硫化(Inverse Vulcanization)”这一概念,即以单质硫为反应原料,以小分子不饱和烯烃为交联剂,合成富硫聚合物(Nat. Chem. 2013, 5(6): 518-524)。这一合成路线可以有效地将S8转变为高附加值的有机聚合物材料。相比于传统的碳基材料,逆硫化得到的富硫有机聚合物具有优异的汞及系列重金属吸附性能、稳定性强的锂硫电池材料性能、良好的绝热隔热性能、高反射因子的光学性能、优异的抗菌性以及自愈合或循环性等突出优势。然而此类聚合反应通常需要在高温(160 – 200 ℃)条件下进行。尽管2019年吴晓锋与Hasell等团队成员通过引入金属锌类催化剂(二乙基二硫代氨基甲酸锌),能够将聚合反应温度降至100-135 ℃(Nat. Commun. 2019, 10: 647-651)。但是这一温度仍然极大地限制了低沸点和气体交联剂的使用。因此,发展更低温度甚至室温条件下逆硫化技术成为该领域的一大挑战。

图1:逆硫化反应发展历程
近日,我校化学化工学院权正军和王喜存教授团队联合华东理工大学龚学庆教授团队,利物浦大学吴晓锋研究员,Tom Hasell团队和Andy Cooper院士团队,首次实现了光催化条件下的室温逆硫化聚合。相比于传统的溶剂热方法,该策略具有多种优势:1)将反应温度从160 - 200 ℃降至室温。这使得低沸点及气体交联剂被首次应用于逆硫化反应中,极大的拓展了交联剂的底物范围;2)避免了热条件下有毒有害气体H2S副产物的生成;3)抑制了热条件合成方法中的因自由基自膨胀而产生的突然爆发效应。进一步研究证实,借助此策略获得的富硫聚合物在重金属吸附方面展现出极大的应用潜力。而且,该策略具有优异的普适性,且合成过程简单易于规模化。该研究成果以“Photo-Induced Inverse Vulcanization” 为题,发表在国际著名期刊Nature Chemistry (DOI: 10.1038/s41557-022-01049-1) 上。
合成方法对比
具体而言,作者首先以传统交联剂1,3-二异丙烯基苯作为反应模板。通过条件筛选,作者发现在435 nm光照下6 h,即可获得高聚合度的富硫聚合物(Mw:240000 g mol-1 vs 100000 g mol-1 [160 °C]),而且该操作过程无需固化,不但极大的缩短了合成时间,而且减少了固化过程中所需的额外能耗(图2)。

图2:光催化逆硫化聚合。(a)合成Poly(S-DIB),热合成(左),催化热合成(中),光催化合成(右);(b)不同条件下合成Poly(S-DIB)的1H NMR;(c)不同条件下合成Poly(S-DIB)的FT-IR光谱;(d)不同条件下合成Poly(S-DIB)的PXRD;(e)不同条件下合成Poly(S-DIB)的TGA;(f)不同条件下合成Poly(S-DIB)的DSC;(g)不同方法合成的Poly (S-DIB)在不同溶剂中的溶解性。
交联剂拓展
在此基础上,作者拓展了交联剂的种类,最终包括工业废料类,天然产物类,胺类,低沸点及气体类等共17种交联剂被成功的应用到该体系中,其中10种首次被应用到逆硫化聚合反应中,进一步充分证明了该方法的普适性和优异性(图3)。


图3:该研究中使用的交联剂
H2S副产物检测
H2S是易燃危化品,遇明火、高热容易引起燃烧甚至爆炸,而且对人体具有一定的危害。因此,控制H2S的产生也是困扰逆硫化聚合领域的一大难题。作者研究了三种策略下(逆硫化,催化逆硫化,光促进逆硫化)H2S的产生情况,发现前两者均有H2S产生,与之相对,光促进逆硫化过程中,完全没有检测到H2S的产生。此外,传统热反应条件下,由于高温导致的自膨胀效应,通常导致反应不可控,引发潜在安全问题。但在光促进逆硫化过程中并没有观察到该现象,这进一步证明该方法的优越性。值得一提的是,通过该策略,富硫聚合物还能够被原位制备、涂覆到滤纸等介质上,无需附加处理过程直接应用于重金属吸附以及水污染处理,这一优势极大地增强了该方法的实用性。
反应机理研究


图4:a:光促进逆硫化机理示意图;b: S8 与 DIB 在各种条件下合成 Poly(S-DIB) 的能量分布(TD = 激发态;TS = 过渡态;IM = 中间态)。蓝色,黑色,粉红色分别对应为传统逆硫化,催化逆硫化,光促进逆硫化反应过程。
作者进一步研究了光促进逆硫化的反应机理。作者认为这一过程遵从改良的或者激发态下的自由基机制。光照射下,S8和交联剂吸收光能量,由基态跃迁到激发态,这一过程可以降低原始反应的过渡能(ΔG+),进而改变反应路径,促进反应物激发态的相互作用,最终实现室温下的聚合反应。DFT计算探究了三种条件下S8与DIB形成Poly(S-DIB)的可能反应路径。如图3所示,首先,在没有催化剂Zn(DTC)2和光照的情况下,S8开环需要克服0.55 eV的能垒才能形成活性硫物种。与之相对,当引入催化剂Zn(TDC)2时,S8的开环激活所需的能垒被降低到0.22 eV,这表明通过引入催化剂能够显著提高S8的活性。最后作者发现,只有激发态下的S8才会在光照射下发生开环,这将直接产生激发态的硫自由基。为了进一步确定计算结果的准确性,作者在M06-2X水平上计算相应的激发态。这些硫自由基可以攻击DIB C=C键上的光活性碳原子,生成Poly(S-DIB),该反应放热约4.90 eV。这一结果支持了作者对室温下不同催化途径的光促进逆硫化的机理阐述和理解,DFT计算结果与实验观察结果能够相互印证。
总结
该研究团队在之前催化逆硫化反应的基础上,针对传统逆硫化苛刻的高温条件及所产生的一系列副反应,首次实现了光促进室温逆硫化技术。该方法的亮点:i) 非常温和的温度条件 (18-20 °C);ii) 拓宽了交联剂的范围,将低沸点烯烃、炔烃以及更便宜和丰富的气体交联剂纳入到反应体系中;iii) 省去了固化步骤,缩短了反应时间;iv) 避免了有毒的 H2S 气体副产物的生成,反应过程更加绿色环保;v) 大多数情况下无需额外添加助催化剂;vi) 无自膨胀效应,实验过程更加安全可控。该工作对于增进大家对于光促反硫反应的机理的理解具有推动作用,对于实现工业上S8的回收利用提供了新的途径。
JaclynDunn和CourtneyL.Jenkins等人在Nature Synthesis发文高度评价了该工作,“点亮了逆硫化反应”(https://www.nature.com/articles/s44160-022-00184-4)。
该工作在权正军教授,吴晓锋研究员,Tom Hasell研究员,Andy Cooper院士共同指导下完成,理论计算由华东理工大学龚学庆教授指导完成。化学化工学院博士生贾锦鸿和博后刘旌江为论文的共同第一作者,365上市公司官网为第一通讯单位。该工作得到国家自然科学基金委(项目批准号:No.22061038、21825301),甘肃省重点人才工程[2019]39,自然科学甘肃省基金(No.20YF3GA032)等基金支持。作者也非常感谢创新工厂(MIF) 团队成员对材料表征上的支持。
近期研究团队还在富硫聚合物的基础上有效的引入SiO2与TiN纳米颗粒,制备成超疏水功能材料,在防腐抗菌与自清洁方面做出了重要贡献,有效拓展了富硫聚合物的应用领域。(ACS Appl. Polym. Mater 2022, 4, 4901-4911;Bulletin of the Chemical Society of Japan 2022, 95, 1253-1262);利用电沉积法有效的将富硫聚合物与铜纳米颗粒相结合,制备出对葡萄糖具有高选择性和专一性的传感器,该方法为富硫聚合物在传感领域开辟了新的途径(New J. Chem. 2021, 45, 16205)。
甘公网安备62010502000864号 陇ICP备17000462号-1